Shrnutí od Seznam AI

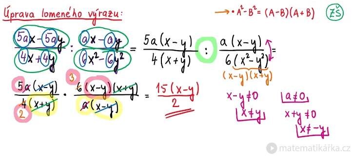
  • Pro úpravu algebraických výrazů je nutné ovládat základní typy úprav, jako je rozklad mnohočlenů, úpravy zlomků a práce s kvadratickými trojčleny, přičemž je důležité dodržovat podmínky a nekompromisně vyžadovat obratnost při provádění operací.
  • Studenti často chybují v tom, že u zlomku typu $rac $ bez rozmyslu požadují, aby každá proměnná, která se vyskytuje ve jmenovateli v jakémkoliv výrazu, byla různá od nuly.
  • Při úpravách složitějších výrazů by studenti měli začít řešit příklady na úpravu algebraických výrazů pomocí vzorců.
  • Pro procvičení a upevnění tematického celku algebraické výrazy lze využít materiál ve formě pdf dokumentu, který obsahuje různorodé úlohy zaměřené na zápis a úpravy algebraických výrazů.
Seznam AI
Ohodnoťte výsledek

Algebraické vzorce - YouTube

► 16:14
Před 10 měsíci299 zhlédnutíMatematika - téma: Algebraické vzorceVe videu si ukážeme tři základní algebraické vzorce, které bys měl/a umět používat. Vyřešíme celkem 6 příkladů, ve který...

Algebraické výrazy | Základní poznatky z matematiky | Metodika…

Potřebujeme je zvládat např. při práci se zlomky, které můžeme krátit a tím zjednodušovat až v okamžiku, kdy jsme jejich čitatele a jmenovatele rozložili na součin.

24 vyřešených příkladů na algebraické vzorce| Matematikaza1.cz

Vyberte si z nabídky příkladů, kde jsou využity algebraické vzorce. Příklady obsahují postup řešení i výsledek.

Algebraické výrazy – vzorce :: doskoly.cz

32 barevných kartiček obsahuje zadání příkladů na úpravu algebraických výrazů pomocí vzorců (a + b)2, (a – b)2 a (a + b)(a – b). Kartičky jsou rozděleny na 4 skupiny podle 4 typů zadání, každá skupina má svoji barvu a obsahuje 8 kartiček s…
Cena 550 KčSkladem
Při pokusu o sdílení polohy došlo k chybě
Více informací
odkazuje na služby nejen od Seznam.cz.

© 1996–2025 Seznam.cz, a.s.