Nabídky ze Zboží.cz

Skladem
od 69 Kč
89 Kč
Dárky.cz
Skladem
od 115 Kč
79 Kč
vyrobtesipivo.cz
Více než týden
od 29 Kč
3 689 Kč
Lapert.cz
Více než týden
od 29 Kč
179 Kč
Lapert.cz

ObrázkyVálec obsah

Povrch válce - výpočet
Válec Pohledy, objem válce, plocha povrchu
PPT - Objem válce PowerPoint Presentation, free download - ID:5241238
Válec - podpora výuky - vzorce :: INFORMATIKA, MATEMATIKA EDU272
01 válec - úvod - YouTube
Válec – Procvičování online – Umíme matiku
objem válce - př.3 - YouTube
PPT - VÁLEC… PowerPoint Presentation, free download - ID:6115835
PPT - Objemy a povrchy telies PowerPoint Presentation, free download ...

Objem válce je základním pojmem při manipulaci s kapalinami, který se týká prostoru uvnitř válcovité nádoby, kterou lze naplnit tekutinou, ať už je to kapalina nebo plyn. Objem válce je určen jeho průměrem a délkou zdvihu, přičemž výpočet je dán vzorcem V = π × (d / 2)² × h, kde V je objem, d je průměr, h je délka…

Válec – Wikipedie

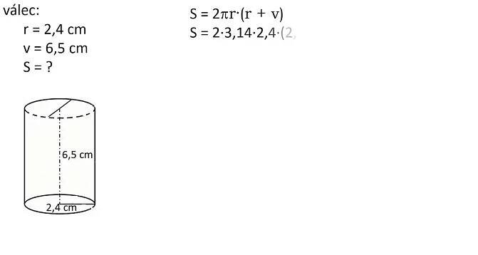
Válec je v prostorové geometrii těleso, vymezené dvěma rovnoběžnými podstavami a pláštěm. Plášť je rozvinutelná plocha, všechny povrchové (tvořící) přímky pláště jsou rovnoběžné a pokud jsou k podstavám kolmé, hovoříme o kolmém válci.

Zkroťte válce: Výpočet objemu hravě a bez stresu < Zábavná věda

V článku se dozvíte, co je to válec a jak se počítá jeho objem. Vysvětlíme si potřebné parametry – poloměr podstavy a výšku válce. Ukážeme si vzorec pro výpočet objemu a jaké jednotky se používají.

Jak vypočítat objem válce? | stavimbydlim.cz

On-line výpočet objemu válce. Jak vypočítat objem válce? Vzorec pro výpočet objemu válce v různých jednotkách. Postup výpočtu objemu válce.

Válec: objem válce, povrch válce - kalkulačka, výpočet | Kurzy…

Válec, objem válce, povrch válce, výpočet objemu válce kalkulačka, vzorec pro výpočet objemu válce V = Pí * r * r * h, vzorec pro výpočet povrchu válce S = 2 * Pí * r ( r + h). Kalkulačka objemu válce ke stažení.
Při pokusu o sdílení polohy došlo k chybě
Více informací
odkazuje na služby nejen od Seznam.cz.

© 1996–2025 Seznam.cz, a.s.